更多精彩内容,点击下载 中国金融网APP 查看
相关新闻
-
近九成深市公司上半年实现盈利
2019年09月02日09时52分
-
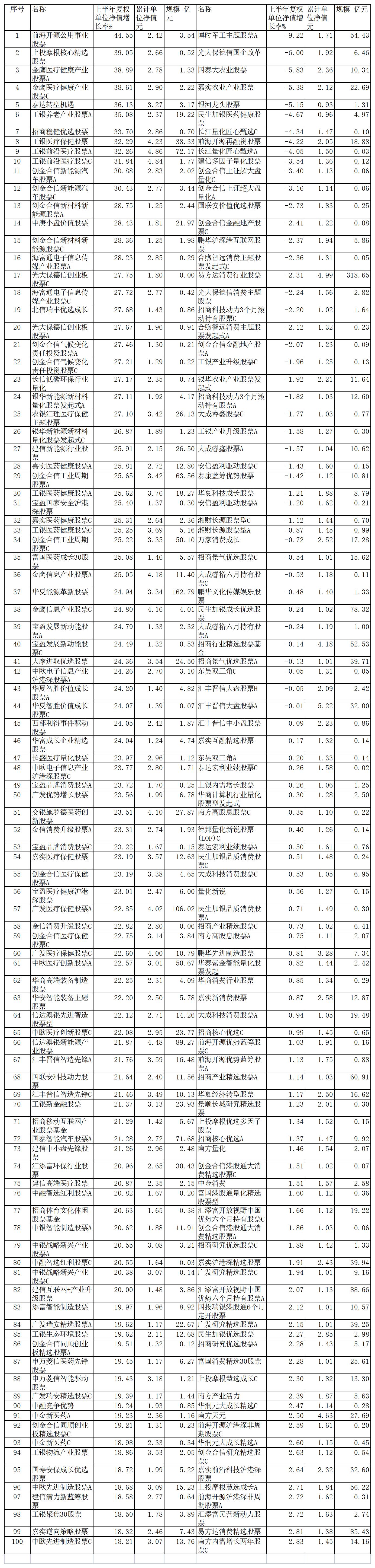
上半年股基平均收益率超23%
2019年07月02日10时13分
-
4月超九成股基上涨
2021年05月07日09时27分
-
近九成沪市公司上半年实现盈利
2019年09月02日10时11分
-
友邦人寿2023年上半年新业务价值迎来14%增长
2023年08月24日12时01分
-
读懂中国 | 微摄大型图片纪实报告之九:成渝开行中老铁路班列
2021年12月04日22时59分
关注金融网
